Group leader: Prof. Dr. Uli Weber
Cancer remains one of the most serious health challenges worldwide, with its incidence steadily increasing. In Germany, nearly every second cancer patient receives radiotherapy treatment, with photon therapy being the most commonly used method. However, proton and ion-beam therapy are gaining traction due to their unique physical and biological advantages. While these treatments are technically more complex than conventional photon therapy, they offer superior dose conformity, making them particularly beneficial for cases where modern photon therapy techniques fall short—such as brain tumors and pediatric patients.
Thanks to these advantages, proton and ion-beam therapy have become rapidly growing treatment modalities. Today, more than 110 therapy centers worldwide are in operation, with approximately 30 additional facilities under construction. A particularly exciting development in the field is FLASH radiotherapy, which utilizes ultra-high dose rates and has shown promising results in reducing side effects on healthy tissue while maintaining effective tumor control.
The Particle Therapy Physics group is dedicated to advancing ion-beam therapy by improving treatment precision and effectiveness. Our research focuses on optimizing dosimetry, enhancing beam conformity, and exploring novel approaches such as FLASH therapy to maximize tumor control while minimizing side effects.
Combining expertise from nuclear, atomic, and medical physics, we conduct experiments at leading ion-beam therapy facilities and utilize a wide range of detector systems. These include standard medical physics tools such as ionization chambers and IC arrays, as well as advanced nuclear physics detectors like scintillators and CMOS pixel sensors. Through our interdisciplinary approach, we contribute to the continuous development and refinement of ion-beam therapy for clinical applications.

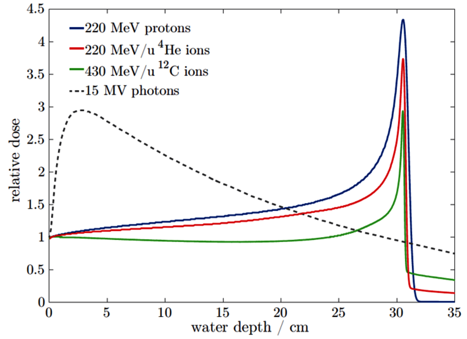
![Figure: Spread-out Bragg Peak (SOBP) generated with several proton beams, compared with high-energy photon depth dose profile [3]](/fileadmin/_processed_/5/3/csm_2_Depht_Dose_4752ae4be2.png)
![Figure: Heavy-ion beam raster scanning technique developed at GSI [figure from https://www.ph.tum.de/academics/why/questions/heavy-ions/]](/fileadmin/_processed_/5/b/csm_3_Heavy-ion_beam_raster_scanning_technique_developed_at_GSI_3eb68ab57a.jpg)
Main research topics
- Proton and Carbon Ion FLASH
- Radiotherapy with ultra-high dose rates
- Dosimetry and fast dose application with 3D printed range modulator, which is an extremely topical issue in the radiotherapy community
- Treatment margin reduction using radioactive 11C-beams (BARB project)
- Use of beta-plus emitting 11C beams for simultaneous treatment and beam visualization
- Dosimetry, beam application and Monte Carlo simulations
- Radiation protection for particle therapy patients (PARTITUR project)
- Use of high-fidelity range modulators
- Reduction of radiation doses outside of the main irradiation field
- Radiation Chemistry
- Simulations of track structure and biochemical effects of radiation
- Study of effects of different radiation qualities and conditions on chemical species yield
- CMOS Sensors: In-situ beam monitoring and near-field fluence measurements (GSI)
- CMOS Mimosa-28 pixel sensors were used for several applications by measuring single charged particle trajectories with high spatial resolution
- 3D-Path: 3D-Range modulators (ZIM) (closed 2020) (BMBF/AiF funded)
- Helium beams: for therapy application (closed 2019) (GSI)
- There is increasing interest in using helium ions for radiotherapy, complementary to protons and carbon ions
- Nuclear fragmentation cross section measurements
Current Team Members
Group Leader:
- Uli Weber, group leader (u.weber(at)gsi.de)
- Daria Boscolo, deputy group leader (d.boscolo(at)gsi.de)
Postdoctoral Researchers:
- Martina Moglioni (m.moglioni(at)gsi.de)
PhD students:
- Warisara Charuchinda (w.charuchinda(at)gsi.de)
- Ha Nguyen Hong (h.nguyen(at)gsi.de)
- Andreas Bückner (a.bueckner(at)gsi.de)
- Gianmarco Camazzola
- Claire-Anne Reidel
- Felix Horst
- Marta Rovituso
- Chiara La Tessa
- Francesca Luoni
- Wilfried Krämer
- Levana Gesson
- Alica Lang
- Moritz Westermayer
- Ines Bennink
Facilities & Collaborations
- Technische Hochschule Mittelhessen (THM) (Prof. Klemens Zink)
- Ludwig-Maximilians-Universität München (LMU) (Prof. Katia Parodi)
- University Clinic Marburg and Marburg Ion-Beam Therapy (MIT) (Prof. Engenhart-Cabillic)
- University Clinic Heidelberg and Heidelberg Ion-Beam Therapy (HIT) (Prof. Juergen Debus)
- Trento Institute for Fundamentals Physics Applications (TIFPA) (Prof. Francesco Tommasino, Prof. Chiara La Tessa)
- Helmholtz-Zentrum Dresden-Rossendorf (HZDR-Oncoray) (Dr. Felix Horst, Dr. Wolfgang Enghardt)
- Justus Liebig University Gießen (JLU) (Prof. Kai Brinkmann)
- University of Rome (Prof. Vincenzo Patera)
- Chulalongkorn University Bangkok (Dr. Tanawat)
- CNAO Centro Nazionale di Adroterapia Oncologica (Dr. Sandro Rossi)
- VARIAN Medical Systems (Proton therapy team)



